Dynamic Single Additive Manufacturing Machine Scheduling Considering Postponement Decisions: A Lookahead Approximate Dynamic Programming

School of Mechanical Engineering, Tongji University
Graphical Abstract

Abstract

Additive Manufacturing (AM), facing challenges of high costs, is driving service providers toward social manufacturing by pooling distributed orders to amortize fixed expenses. However, for a single-machine operator in such environments, real-time scheduling under stochastic order arrivals presents a critical challenge: whether to process available jobs immediately to reduce tardiness or to strategically postpone production in anticipation of future arrivals for cost-efficient batch consolidation. We model this problem as a finite-horizon Markov decision process, where postponement is explicitly treated as a proactive choice, and the objective is to maximize long-term expected profit. To overcome the curse of dimensionality, we propose a lookahead approximate dynamic programming approach that evaluates the state values by simulating the future trajectories. The proposed approach integrates a Monte Carlo tree search framework for efficient lookahead tree evaluation, a one-step lookahead surrogate policy to guide rollout simulations, and a Pareto-based pruning strategy to focus on high-quality feasible decisions. Extensive numerical experiments demonstrate that the proposed policy outperforms conventional reactive rule and heuristics with static postponement thresholds, achieving an average empirical competitive ratio of 1.27 relative to the offline optimum.

Highlights

Key Features

The Scheduling Challenge

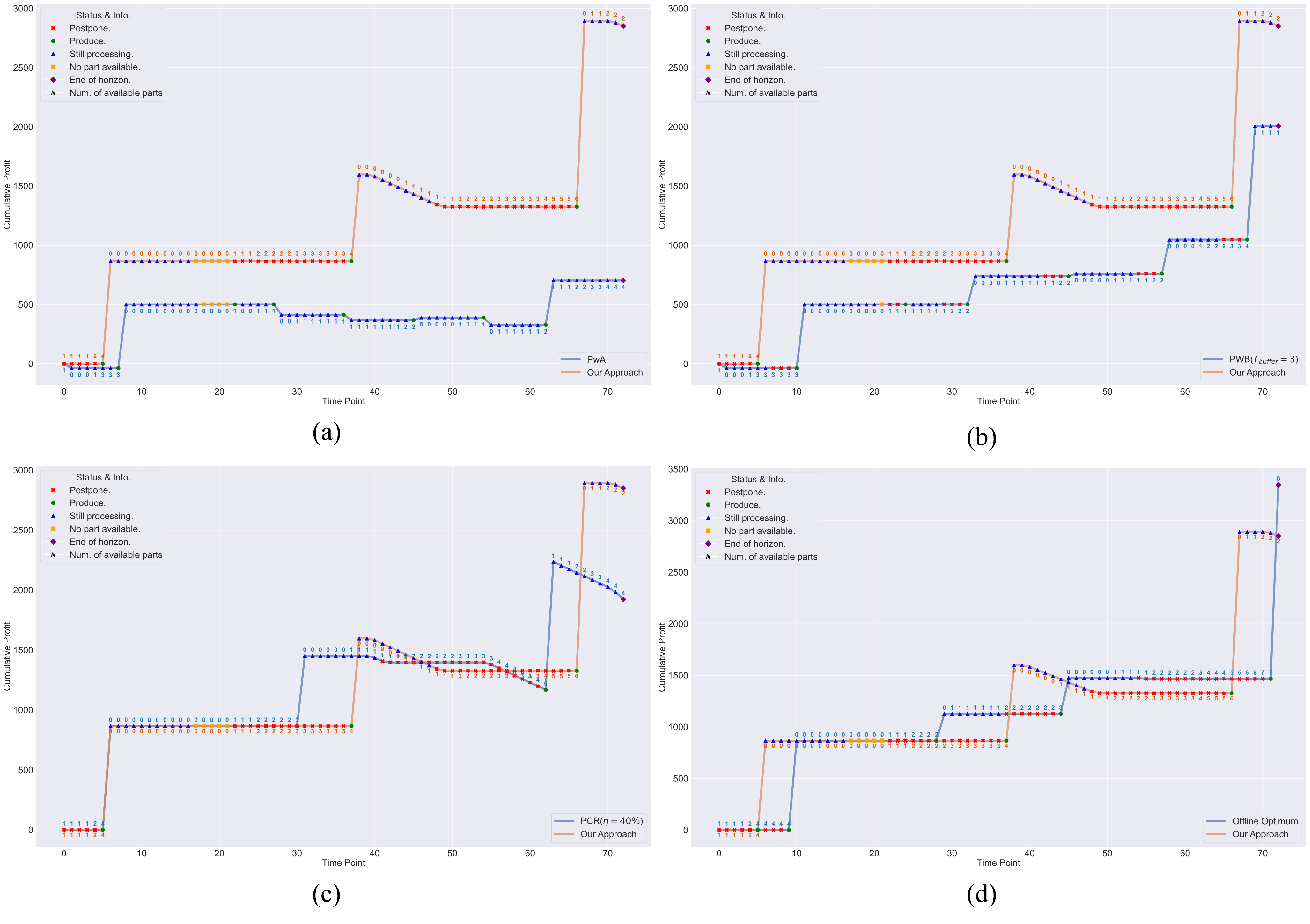
In Additive Manufacturing service bureaus, orders arrive stochastically. The operator must decide in real-time whether to Process the current batch immediately or Postpone to wait for more orders. This tradeoff balances the economies of scale (batching efficiency) against the risk of order tardiness.

Problem Definition
ADP Structure

Approximate Dynamic Programming

We model the problem as a Markov Decision Process (MDP). To solve the curse of dimensionality, we employ a Direct Lookahead Approximation (DLA) policy. This uses Monte Carlo Tree Search (MCTS) to simulate future trajectories and estimate the value of current actions, enabling near-optimal online decisions.

Interactive Simulator


[Video Placeholder]
Replace with <video> or <iframe>

Try it yourself

We open-sourced the interactive simulator environment. You can visualize the postponing and batching process and test different policies.

Launch Simulator

Numerical Experiments

Extensive numerical experiments demonstrate that the proposed policy significantly outperforms reactive scheduling rules and static heuristics, achieving an average empirical competitive ratio of 1.27 against the offline optimum.

Results 1
Results 2

Presentation Slides

Presented at IE Forum 2025.12.14, Tsinghua University.